Penulis: Muhammad Said Anwar
Konsep mutawatir dalam ilmu akidah, khususnya dalam Ahlussunnah wal Jama’ah, menduduki posisi penting. Karena seluruh isu teologis dibangun dengan informasi yang berbasis mutawatir.
Sebagaimana dinyatakan oleh Syekh Ahmad Thayyib, Grand Syekh Al-Azhar dalam Muktamar Internasional Al-Azhar yang membincang wacana reformasi dinamika dan disiplin keislaman pada 27 dan 28 Januari 2020, bahwa Asy’ariyyah, Maturidiyyah, bahkan Muktazilah tidak membangun satu pun kredo teologis primordial mereka, kecuali dengan menggunakan Al-Qur’an dan hadis mutawatir.
Di sudut lain, ada yang berusaha mereduksi peran riwayat mutawatir dengan dalih agama Islam dibangun dengan dogma buta belaka, tanpa adanya pertimbangan ilmiah-konstruktif. Sehingga, klaim ini meniscayakan teorema bahwa kredo yang terkandung dalam agama Islam itu primitif. Jika uṣul-nya demikian, maka yang tumbuh di atasnya akan terseret pada klaim yang sama. Apa gunanya belajar agama jauh-jauh ke Mesir jika kenyataannya seperti itu?
Para teolog Islam berabad-abad lalu dengan tegas menyatakan bahwa persoalan teologi, kita tidak boleh bertaklid buta. Harus ada asas ilmiah yang mendasarinya. Bukan hanya Imam Al-Sanusi, Al-Taftazani, Al-Iji, Al-Jurjani, dan Al-Razi dari madrasah muta’akhirīn, jauh hari para leluhur di madrasah mutaqaddimīn seperti Imam Al-Gazali, Al-Juwaini, Al-Baqillani, bahkan Al-Asy’ari menyuarakan hal yang sama; meyakini sesuatu harus memiliki landasan ilmiah. Hal ini juga sudah direstui oleh syariat sendiri, sebagaimana yang termaktub dalam ayat:
فَاعْلَمْ أَنَّهُ لَا إِلَهَ إِلَّا اللَّهُ…
“Ketahuilah, bahwa tiada Tuhan selain Allah…” (Muhammad: 19)
Kata i’lam pada ayat tersebut menjadi sorotan para teolog; mereka menafsirkan bahwa kata itu meniscayakan keyakinan bahwa Allah sebagai Tuhan, itu berdasarkan ilmu. Ilmu yang dimaksud adalah pengetahuan yang bersifat tegas, sesuai fakta, dan bisa dibuktikan dengan deretan argumentasi. Salah satunya, dinyatakan oleh Imam Al-Sanusi dalam Syarh Al-‘Aqīdah Al-Kubrā:
فأمر بالعلم لا بالاعتقاد
“(Allah) memerintahkan (berakidah) dengan ilmu, bukan dengan dogma (buta).” [Abu Abdillah Al-Sanusi, Syarh Al-‘Aqīdah Al-Kubrā, 2019, Tahkik: Anas Muhammad Adnan Al-Syarfawi, Damaskus: Dar Taqwa, hlm. 145].
Standar ilmiah informasi dikategorikan sebagai ilmu, dinyatakan oleh Imam Al-Nasafi yang secara ringkas bahwa pengetahuan itu absah dinyatakan ilmiah jika melewati salah satu dari tiga sumber pengetahuan; 1) Khabar al-shādiq, 2) Akal, dan 3) Pancaindera. Dan seluruh ajaran agama Islam, tidak keluar dari ketiga sumber ini.
Konsekuensi dari pernyataan tersebut adalah agama Islam itu ilmiah. Imbas dari klaim ini akan jauh lebih kompleks dan serius. Salah satunya, setiap jengkal kredo, teorema, teori, maupun klaim dalam agama akan membutuhkan pembuktian lebih lanjut. Salah satunya adalah konsep mutawatir.
Mutawatir
Para ahli, seperti Imam Ibnu Hajar Al-Aṣqalani dalam Nuzhah Al-Naẓar mengisyaratkan bahwa hadis mutawatir itu diriwayatkan oleh perawi dalam jumlah tertentu yang menurut kebiasaan mustahil bersepakat untuk berdusta, jumlahnya terjadi pada setiap generasi, dan sandaran informasinya adalah pancaindera. Mayoritas ahli menyatakan bahwa tingkat kebenaran yang terkandung dalam riwayat mutawatir itu akurat dan pasti.
Konstruksi logis yang dibangun oleh para sarjana Islam dalam konsep mutawatir adalah semakin banyak perawi independen yang menyampaikan teks sama, semakin kecil adanya kemungkinan kolusi atau kesalahan yang disengaja, dan semakin meningkat pula tingkat kepercayaan terhadap kebenarannya. Dan menurut kebiasaan, mustahil sepakat berkolusi.
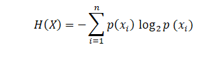
Sebagai bentuk pembuktian, tulisan ini akan mengupas konsep mutawatir melalui metodologi matematis. Dalam kerangka matematis, teori entropi akan digunakan untuk mengukur ketidakpastian riwayat dan information gain digunakan untuk mengevaluasi kontribusi setiap riwayat dalam memperkuat keyakinan.
Dengan adanya pendekatan tersebut, kita akan melihat bahwa ajaran Islam tidak terbatas hanya pada kalangan tertentu tanpa nilai universal. Bahkan, dengan adanya pendekatakan ini akan membuktikan bahwa konsep mutawatir didasarkan pada prinsip ilmiah dengan karakter universal, mengacu pada pendekatan matematis, khususnya teori entropi dan information gain. Keduanya berasal dari bidang ilmu informasi dan statistik yang digunakan secara luas dalam artificial intelligence (AI) dan machine learning.
Pemodelan Mekanisme Matematis
Untuk membuktikan sifat ilmiah konsep mutawatir, berikut prinsip matematis yang digunakan:
- Entropi
Entropi adalah ukuran tingkat ketidakpastian suatu informasi. Semakin tinggi ketidakpastian, semakin besar nilai entropi. Sebaliknya, jika ada informasi baru, ketidakpastian menyusut, maka nilai entropi menurun.
- Information Gain
Konsep information gain mengukur sejauh mana ketidakpastian berkurang setelah menerima informasi baru. Semakin besar pengurangan ketidakpastian, semakin meningkat tingkat kepercayaan pada informasi tersebut.
Sebagai contoh, verifikasi ini dapat diterapkan pada informasi sederhana seperti: “Doi minum manisan.”
Sebelum adanya konfirmasi dari sejumlah informasi independen, tingkat awal kepercayaan awal terhadap informasi ini adalah 50% benar (p) dan 50% salah (q) dengan rumus:
Di mana:
Adapun untuk information gain, rumusnya sebagai berikut:
Di mana:
Mari kita mulai proses hitungannya. Hal pertama yang perlu dilakukan adalah menentukan probabilitas benar-salah di awal.
Awalnya: tidak ada informasi tambahan. Berarti:
- Probabilitas benar: 0.5 = (p)
- Probabilitas salah: 0.5 = (q)
Maka entropi awalnya:
Tingkat entropinya mencapai 1 bit, menunjukkan bahwa informasi “Doi minum manisan.” itu memiliki tingkat ketidakpastian yang sangat tinggi, karena tidak ada informasi pendukung.
Kemudian, ketika ada informasi baru. Misalnya, Fulan datang memberikan informasi yang sama. Otomatis, p meningkat menjadi 0.7 dan q redup menjadi 0.3. Meningkatnya p, menunjukkan Fulan layak sebagai sumber informasi. Kita bisa menghitung peningkatan p menggunakan Teorema Bayes:
Dengan bepegang kepada:
- P (informasi Fulan | Doi minum manisan) = 0.7 (kredibilitas dari Fulan)
- P (informasi dari Fulan | Doi tidak minum manisan) = 0.3
- P (Doi minum manisan) = 0.5 dan P (Doi tidak minum manisan) = 0.5
Kemudian, kemungkinannya kita hitung:
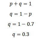
Atas dasar perhitungan tersebut, maka p menjadi 70%, sedangkan q dihitung dengan rumus:
Dari sisi matematis, penggunaan teori probabilitas p dan q bergantung kepada beberapa faktor utama:
- Tingkat kepercayaan yang diperlukan.
- Kredibilitas individu sebagai penyampai informasi.
- Tingkat konsistensi informasi dari pelbagai sumber independen.
Jika ketiga poin ini terpenuhi seiring munculnya informasi baru, maka probabilitas p semakin meningkat.
Entropi Baru dan Information Gain
Setelah menerima informasi dari Fulan (kredibel 80%), tingkat entropi baru H (X|Y) dihitung sebagai berikut![]()
Kita akan menggunakan information gain untuk mengukur keterkikisan ketidakpastian setelah memperoleh informasi dari Fulan:![]()
Hasil ini menunjukkan bahwa entropi dari 1 menurun ke 0.88, yang berarti ketidakpastian menurun setelah adanya informasi Fulan. Walau hanya tergeser 0.12 bit, namun nilainya akan meningkat jika ada informasi lain menguatkan.
Untuk membuktikannya, beberapa sampel akan didatangkan dengan kredibilitas tinggi plus membawakan informasi sama. Kita akan mulai dari tiga sampel.
Fulan, A, dan B memiliki kredibilitas sama, datang memberikan informasi sama, mengenai Doi minum manisan. Probabilitas p meningkat ke 90% sedangkan q menurun ke 10%. Setelah menerima informasi dari ketiga individu itu, perhitungan entropi dan information gain bisa dilakukan:
Di sini kita melihat entropi menurun dari 1 ke 0.47 bit, sedangkan information gain meningkat ke 0.53 bit. Pergesarannya mulai signifikan. Kita akan mencoba sepuluh sampel di perhitungan berikutnya.
Jika ada informasi yang sama dengan informan berkredibilitas sama (80%), maka p meningkat secara signifikan menjadi 99%, sementara q menurun menjadi 1%. Entropi dan information gain-nya bisa dihitung:
Ini menunjukkan bahwa jika ada sepuluh individu menyampaikan informasi sama dengan kriteria sama, maka entropinya menjadi 0.08 bit dan information gain-nya menjadi 0.92 bit, sangat mendekati informasi sempurna jika diukur melalui 1 bit. Dengan kata lain, mendekati kebenaran 100%.
Setiap orang yang memberikan informasi sama, memberikan penurunan terhadap entropi. Tapi, persentase penurunannya menjadi lebih kecil seiring bertambahnya jumlah individu. Pada tahap awal, informasi baru yang sama berkontribusi memberikan penurunan entropi dalam jumlah besar. Namun, ketika jumlah individu meningkat, tingkat kepercayaan pada informasi sudah sangat tinggi, sehingga penambahan jumlah individu tidak menghasilkan perbaikan besar dalam pengurangan ketidakpastian.
Hal itu disebabkan oleh efek pengurangan ketidakpastian yang mengikuti pola logaritmik, di mana setiap informasi baru menghasilkan dampak yang semakin kecil terhadap penurunan entropi secara bertahap. Hal itu bisa kita lihat di atas bahwa tiga individu memiliki 0.47 bit entropi yang jaraknya signifikan dibanding entropi awal; 1 bit.
Sampai di sini, mungkin ada pertanyaan, kalau seandainya jumlah penurunan entropi melambat seiring bertambahnya individu, apakah penambahan individu kemudian menjadi tidak penting? Jawabannya, tetap penting. Meskpiun demikian, dampak kolektif dari sejumlah besar individu mendukung informasi yang sama tetap penting. Dalam hal ini, banyaknya individu, berkontribusi membangun tingkat kepercayaan dengan sangat tinggi.
Perhatikan pola pertambahan individu jika memberi informasi sama:
- Satu individu meningkatkan keyakinan kita hingga 60%
- Sepuluh individu meningkat hingga 80%
- Tujuh puluh individu meningkat hingga 82%
- Sembilah puluh individu meningkat hingga 92%
- Seratus orang meningkat hingga 95%
Meskipun banyaknya individu memberikan kontribusi kecil, probabilitas kontribusi mereka tetap memberikan peran besar dalam membangun tingkat kepercayaan yang tinggi terhadap suatu pernyataan. Dalam konteks riwayat mutawatir, prinsip ini menunjukkan bahwa keyakinan terhadap informasi tidak bergantung pada individu secara independen, tapi juga jumlah besar perawi independen dan konsisten.
Analisa Struktur Kalimat dan Dampaknya Terhadap Entropi
Dalam membuktikan kebenaran informasi, struktur kalimat yang disampaikan perawi juga statusnya krusial. Pada dua pendekatan yang telah dianalisa sebelumnya, perhitungan tingkat entropi dapat disederhanakan dengan mengandalkan struktur kalimat yang digunakan para perawi. Perhitungan ini bertujuan menunjukkan pengaruh krusial struktur kalimat terhadap angka entropi.
Pertama, Struktur Berbeda
Jika mengekspresikan “Doi minum manisan” dengan tiga struktur berbeda, maka variannya:
Fulan A: “Doi suka minum manisan.”
Fulan B: “Doi banyak minum manisan.”
Fulan C: “Doi tadi minum, yaitu manisan.”
Diasumsikan, setiap kalimat memiliki probabilitas yang sama. Probabilitas ini ditentukan dengan mempertimbangkan bahwa tidak ada yang memiliki struktur lebih umum dari yang lainnya, sehingga perhitungannya:![]()
Jika tingkat entropinya dihitung, hasilnya sebagai berikut:
Ini menunjukkan, banyaknya varian struktur kalimat, menambah tingkat entropi sehingga tingkat ketidakpastiannya sangat tinggi.
Kedua, Struktur Sama
Ini kebalikan dari sebelumnya. Jika mengekspresikan “Doi minum manisan” dengan struktur sama, maka:
Fulan A: “Doi minum manisan.”
Fulan B: “Doi minum manisan.”
Fulan C: “Doi minum manisan.”
Karena semua identik, maka probabilitas informasi ini adalah:![]()
Ketika tingkat entropi dihitung, hasilnya:![]()
Hasil
Perhitungan analisa struktur kalimat ini menunjukkan bahwa perbedaan struktur kalimat menghasilkan entropi sebesar 1.585 bit yang sangat tinggi, mencerminkan ketidakpastian lebih besar karena perlu menyelaraskan makna. Sementara itu, ketika struktur kalimat indentik, menunjukkan tiadanya ketidakpastian sama sekali karena tidak ada perbedaan informasi, itu terlihat dengan 0 bit pada entropinya.
Dalam konteks riwayat mutawatir, selain pentingnya menilik kuantitas dan kualitas perawi, keindentikan informasi yang dibawakan perawi tak kalah penting untuk menghasilkan keyakinan dengan tingkat yang tinggi. Sehingga dengan analisa seperti tadi, jika diimplementasikan pada riwayat mutawatir, tingkat entropinya bisa sampai di titik 0 bit. Hal itu disebabkan adanya individu yang tidak terhitung dalam membawakan informasi yang sama. Bagaimana jika ditambahkan analisa struktur kalimat? Tentu ini semakin kuat.
Ini membuktikan bahwa konsep mutawatir yang dibawakan ulama Islam itu bisa dipertanggungjawabkan secara ilmiah dan memiliki asas eksak, salah satunya dengan ilmu informasi dan statistik yang hasilnya kita nikmati dalam implementasi AI. Sekaligus, meruntuhkan klaim bahwa konsep informasi yang digunakan dalam membangun kredo teologi adalah dogma buta, runtuh dengan sendirinya. Bukankah klaim seperti itu sendiri merupakan dogma buta dan tak berdasar?
Wallahu a’lam.
Referensi
Al-Qur’an Al-Karīm
Abedi. M, Omidi. A, & Ahmadi. R, Conteptual Model of Critical Thinking Based on Islamic Sources, 2024, Stud. Islam Psychol.
Al-Aṣqalani, Ahmad bin Ali, Nuzhah Al-Naẓar fi Tauḍīh Nukhbah Al-Fikr, 2011, Tahkik: Nuruddin ‘Itr, Karachi: Maktabah Al-Busyra.
Al-Bajuri, Burhanuddin Ibrahim bin Muhammad, Hāsyiyah Al-Bājūri ‘ala Syarh Al-Aqā’id Al-Nasafiyyah, 2020, Tahkik: Anas Muhammad Syarfawi & Hussam Muhammad Yusuf Salih, Damaskus: Dar Al-Taqwa.
Al-Suyūṭi, Abdurrahman bin Abu Bakr, Tadrīb Al-Rāwī fi Syarh Taqrīb Al-Nawāwī, 1979, Tahkik: Abdul Wahab Abdul Latif, Beirut: Dār Ihyā Al-Sunnah Al-Nabawiyyah.
Azhagusundari. B, & Thanamani. A, Feature Selection Based on Information Gain, 2013, Int. J. Tech, Vol. 2, No. 2.
Donoho. D dkk, Does The Maximum Entropy Method Improve Sensitivity?, 1990, Natl. J. Math., Vol. 87.
Rizapoor. H, Poya. A, & Athari. Z, The Relationship Between Prophetic Hadith and Intellect; A Critical Examination of the Schoolary Discourse, 2023, Int. J. Islam. Stud. High. Educ., Vol. 2, No. 2.
Saad dkk, Critiscism Towards Quranic Text with Mutawatir Status, 2022, Int. J. Acad., Vol. 12, No. 7.
Siraj, F, Arif, R, & Efendi, The Existence and The Construction fi ‘Ilm Al-Kalam as Islamic Discipline and its Significance to Wasatiyyah, 2019, Int. J. Islam, Vol. 17, No. 1.








